Produkte

Antioxidans DLTDP
Chemischer Name:Thiodipropionsäure 12-12 Alkoholester
Molekularformel:C30H58O4S
CAS-NR.:123-8-4
Molekulargewicht:515
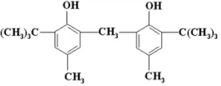
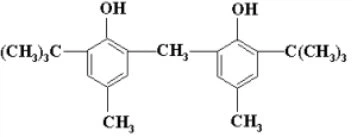
Strukturformel:

Spezifikationen:
Aussehen | Weißes Puder |
Schmelzpunkt | 39.5-41.5 Grad |
Volatilität | Kleiner oder gleich 0,05 Prozent |
Asche | Kleiner oder gleich 0,01 Prozent |
Eigenschaften und Verwendung:
Das Antioxidans DLTDP kann in Chloroform, Methylenchlorid, Toluol und anderen organischen Lösungsmitteln gelöst werden. Es hat eine geringe Toxizität und kann in Materialien mit Lebensmittelkontakt verwendet werden. Es wird häufig in Verbindung mit anderen gehinderten Phenol-Antioxidantien wie 1010 und 1076 verwendet, um die Antioxidationswirkung zu verstärken. Es wird häufig in Polyolefin, Polystyrol, ABS-Harz, PBT-Harz und anderen Polymeren verwendet und kann auch in der Gummi- und Schmiermittelherstellung verwendet werden.
Lagerung und Verpackung:
Dies verpackt in Kartons, die mit Plastiktüten ausgekleidet sind, mit einer Nettokapazität von 25 kg pro Dose oder nach Kundenwunsch.
Beliebte label: Antioxidans dltdp, China, Lieferanten, Hersteller, Fabrik, kaufen, Preis, Angebot, hergestellt in China







